作者:dajiang 添加时间:2018-08-07 08:47:26 浏览:
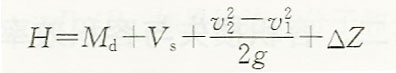
混流泵的扬程是指水泵能够扬水的高度,通常以符号H来表示,其单位为米。混流泵的扬程以叶轮中心线为基准,分由两部分组成。从水泵叶轮中心线至水源水面的垂直高度,即水泵能把水吸上来的高度,叫做吸水扬程,简称吸程;从水泵叶轮中心线至出水池水面的垂直高度,即水泵能把水压上去的高度,叫做压水扬程,简称压程。

如混流泵装置示意图所示,水泵从下容器向上容器供水,试用下面两组参数分别表示水泵的扬程。
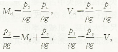
(1)水泵出口法兰处压力计读数Md(m),水泵进口法兰处真空表读数Vs(m),表距AZ(m),水泵进出口法兰处速度%、t;2(m/s);
(2)压力p。、pt(N/m2),几何高度汗、H2、AZ(m),进水管路和出水管路的水头损失hi、A2(m);
【解】令水泵进出口处的压力和大气压分别为p1、p2和p3,单位为Pa。



上一篇:做好混流泵的检查与保养工作
下一篇:轴流泵在日常维护的时候应该注意什么呢?